Режим работы:

Пн.-Пт.: 9-00 - 18-00 (время Московское)

Насос FS80-65-200-18.5 центробежный горизонтальный одноступенчатый

Насос FS80-65-200-18.5 центробежный горизонтальный одноступенчатый
Насос FS80-65-200-18.5 центробежный горизонтальный одноступенчатый
0,00 
57268
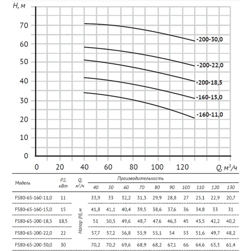
Насос FS80-65-200-18.5 — центробежный горизонтальный одноступенчатый консольно-моноблочный насос мощностью 18,5 кВт. Предназначен для перекачивания горячей и холодной жидкости, повышения давления в трубопроводах. Номинальная производительность 100 м. куб./ч, напор 75 м. Корпус из нержавеющей стали, питание 3х400 В, класс защиты IP55. Используется в системах водоснабжения, отопления и технологических процессах. Вес около 160 кг.
СПЕЦИАЛЬНЫЕ ЦЕНЫ ДЛЯ ОПТОВЫХ КЛИЕНТОВ - ПО ЗАПРОСУ (С ФИЗ. ЛИЦАМИ НЕ РАБОТАЕМ)
  • Комплектуем объекты. Расчет заявок — zakaz@werkman.ru
  • Скидки строительным и производственным компаниям
  • Минимальный заказ от 500 р.
  • Указанные на сайте цены и условия поставки не являются публичной офертой — статья 437 ГК РФ
ВАРИАНТЫ ДОСТАВКИ

Способы доставки:

  • Доставка в ПВЗ Яндекса (доставка до адреса)
    Подходит для не больших заказов — получение в пунктах выдачи Яндекс, опция курьерской доставки до дверей (если доступна).
  • Доставка Деловыми линиями и ТК Возовоз (для габаритных заказов)
    Крупногабаритные и тяжёлые грузы мы отправляем транспортными компаниями — сроки и стоимость рассчитываются менеджером.
  • Самовывоз со склада в Санкт-Петербурге
    Самовывоз возможен по предварительному согласованию — время выдачи уточняйте у менеджера.
  • Все о товаре
  • Характеристики
  • Описание

Насос FS80-65-200-18.5 центробежный горизонтальный одноступенчатый характеристики

Класс изоляции
F
Макс. рабочее давление (бар)
10
Максимальное количество пусков в час
20
Мощность (кВт)
18.5
Номинальная подача (л/мин)
1667
Номинальная подача (м³/час)
100
Номинальный диаметр входного патрубка
80
Номинальный диаметр выходного патрубка
65
Номинальный напор (м)
45
Номинальный ток, А
34.2
Размер пропускаемых частиц (мм)
1
Серия
FS
Степень защиты
IP55
Страна производства
Китай
Температура жидкости (℃)
-20…+100
Температура окружающего воздуха (℃)
+1…+40
Тип установки
Горизонтальный
Электрическая сеть
3~400В; 50Гц
Гарантия (мес)
24
Макс. содержание примесей (г/м³)
100

Насос FS80-65-200-18.5 центробежный горизонтальный одноступенчатый описание

Центробежные горизонтальные одноступенчатые насосы серии FS предназначены для перекачивания чистой воды и неагрессивных жидкостей без твердых и волокнистых включений. Они применяются в системах водоснабжения и отопления жилых и производственных помещений. Основные области применения включают:

1. Системы водоснабжения ЖКХ и муниципальных водоканалов
2. Циркуляция в системах водо- и теплоснабжения
3. Подача технической воды на промышленных предприятиях
4. Водоснабжение садоводческих и дачных посёлков
5. Системы пожаротушения
6. Обеспечение работы основных и вспомогательных систем на объектах теплоэнергетики

Насосы могут работать с холодной и горячей (до 100°С) водой, а также с другими жидкостями, сходными по свойствам с водой.


Отзывы

Отзывы не найдены

Склад в Москве и
Санкт-Петербурге

Консультации по подбору аналогов

Формирование складских запасов для постоянных клиентов

Доставка
по всей России